コンプリート! p-xylene nitration 234732-P-xylene nitration
Compound NitroPxylenewith free spectra 3 NMR, 4 FTIR, and 5 MSNov 04 13 0530 PMNov 04 13 0530 PM
What Is The Major Product Obtained By Nitration Of M Xylene
P-xylene nitration
P-xylene nitration-PXylene undergoes nitration much faster than benzene Use resonance forms of the sigma complex to explain this accelerated rateThe nitration of p xylene to give the corresponding mononitro p xylene, dinitro p xylene (DPX) and trinitro p xylene (TPX) has been studied many years ago Prior to World War II the nitration of the xylenes was carried out only on a small scale to produce solvents and chemical intermediates


2
EPB1 EP EPA EPB1 EP B1 EP B1 EP B1 EP EP EP EP A EP A EP A EP B1 EP B1 EP B1 Authority EP European Patent Office Prior art keywords xylene nitration nitro nitric acid reaction Prior art date Legal status (The legal status is an assumption and is(a) How many isomers are formed by nitration of mxylene?Q1622 If toluene is treated with D 2 SO 4 all the hydrogen's are replaced with deuterium Explain (might need to draw mechanism) Solutions S1621 S1622 The deuterium is added to the ring When the ring "rearomatizes" the
The nitration of methylbenzene (toluene) Methylbenzene reacts rather faster than benzene in nitration, the reaction is about 25 times faster That means that you would use a lower temperature to prevent more than one nitro group being substituted in this case, 30°C rather than 50°C Apart from that, the reaction is just the same usingThe rates of nitration of benzene, toluene, p xylene, and mesitylene have been determined in aqueous nitric acid at concentrations between 24–41 mol % HNO 3 and at temperatures between 293–333 K Plots of log 10 (k1 / a HNO 3) versus – H0, where k1 is the pseudofirstorder rate constant, a HNO 3 the activity of the nitric acid, and H0 the Hammett acidity function, are linear, and confirm that the mechanism of nitration in aqueous nitric acid is similar to that in aqueous sulphuric acidTHE NITRATION OF BENZENE This page gives you the facts and a simple, uncluttered mechanism for the electrophilic substitution reaction between benzene and a mixture of concentrated nitric acid and concentrated sulphuric acid If you want the nitration mechanism explained to you in detail, there is a link at the bottom of the page
Q1622 If toluene is treated with D 2 SO 4 all the hydrogen's are replaced with deuterium Explain (might need to draw mechanism) Solutions S1621 S1622 The deuterium is added to the ring When the ring "rearomatizes" theIn each case, how many products would be expected for the bromination of pxylene, oxylene, and mxylene?Q1622 If toluene is treated with D 2 SO 4 all the hydrogen's are


Solved Problem 13 2 Nitration Of 1 4 Dimethylbenzene P X Chegg Com


The Sustainable Room Temperature Conversion Of P Xylene To Terephthalic Acid Using Ozone And Uv Irradiation Green Chemistry Rsc Publishing Doi 10 1039 C9gc095k
Electrophilic substitution in methylbenzene The nitration of methylbenzene If you substitute a nitro group, NO 2, into the benzene ring in methylbenzene, you could possibly get any of the following products The carbon with the methyl group attached is thought of as the number 1 carbon, and the ring is then numbered around from 1 to 6EPB1 EP EPA EPB1 EP B1 EP B1 EP B1 EP EP EP EP A EP A EP A EP B1 EP B1 EP B1 Authority EP European Patent Office Prior art keywords xylene nitration nitro nitric acid reaction Prior art date Legal status (The legal status is an assumption and isAromatic nitration also displays firstorder kinetics in either nitromethane or acetic acid (when used as a solvent) with nitric acid in constant excess It exhibits zerothorder kinetics for sufficiently reactive aromatic compounds, and firstorder kinetics for sufficiently unreactive compounds used for nitration (Ref1)


Aromatic Substitution Reactions Reactions Nomenclature Ppt Download


Beta Zeolite An Efficient And Eco Friendly Catalyst For The Nitration Of O Xylene With High Regio Selectivity In Liquid Phase Sciencedirect
USA US3379A USA USA US A US A US A US 3379 A US3379 A US 3379A US A US A US A US A US A US A Authority US United States Prior art keywords xylene poly para reaction polymer Prior art date Legal status (The legal status is an assumption and is not a legal conclusionNitration conditionsMononitropxylene ( g) was mixed with H,SO,HNO, and heated in an oil bath The times, temperatures, and ratio of HNO, to mononitropxylene that were used are shown in Table I After nitration the reaction products were poured onto ice and the mixture was extracted once with benzene and then four times with chloroformAsymmetric CpxRh(III)Catalyzed Acrylic Acid C–H Functionalization with Allenes Provides Chiral γLactones


Pdf Continuous Flow Nitration Of O Xylene Effect Of Nitrating Agent And Feasibility Of Tubular Reactors For Scale Up


O Xylene Cas 95 47 6
This invention relates to a process for the nitration of xylene isomers by using zeolitebeta as a catalyst This invention particularly relates to a process for the nitration of xylenes using solid acid catalyst, thus totally eliminating the disposal of spent acid and saltsQ1622 If toluene is treated with D 2 SO 4 all the hydrogen's areThe mononitration of pxylene canbe easily carried out at 30°C Nitropxylene is easily nitrated to dinitropxylene at atemperature of 80°C The trinitropxylene can be obtained at 1°C Single crystals of2,3dinitropxylene and 2,3,5trinitropxylene were grown using theslow cooling method and we report the Xray structure of the former


Aromatic Reactivity


Acid Catalyzed Regioselective Nitration Of O Xylene To 4 Nitro O Xylene With Nitrogen Dioxide Bronsted Acid Versus Lewis Acid Pdf Document
2,5dimethylaniline is a primary arylamine that is aniline in which the hydrogens at the 2 and 5positions are replaced by methyl groups It is used in the manufacture of dyes and other chemicals It is a dimethylaniline and a primary arylamineNitration of 1,4dimethylbenzene (pxylene) gives a single product having the molecular formula C8H9NO2 in high yield What is this product?Article Views are the COUNTERcompliant sum of full text article downloads since November 08 (both PDF and HTML) across all institutions and individuals


Solved Before Spectroscopy Was Invented Korner S Absolute Met Chegg Com


How Many Products Are Formed By The Nitration Of P Xylene Compound
In each case, how many products would be expected for the bromination of pxylene, oxylene, and mxylene?Humans exposed to 46 or 92 ppm of o, m, pxylene or a mixture (111) of the three for 8 hr absorbed approx 64% of the inhaled xylene No difference in the absorption rate was reported due to level of exposure, length of exposure, or the type and/or mixture of the xylene isomersThis invention relates to a process for the nitration of xylene isomers by using zeolitebeta as a catalyst This invention particularly relates to a process for the nitration of xylenes using


Woa2 Process For The Nitration Of O Xylene And Related Compounds Google Patents


Novel Recyclable Catalysts For Atom Economic Aromatic Nitration
USA US3379A USA USA US A US A US A US 3379 A US3379 A US 3379A US A US A US A US A US A US A Authority US United States Prior art keywords xylene poly para reaction polymer Prior art date Legal status (The legal status is an assumption and is not a legal conclusionElectrophilic substitution in methylbenzene The nitration of methylbenzene If you substitute a nitro group, NO 2, into the benzene ring in methylbenzene, you could possibly get any of the following products The carbon with the methyl group attached is thought of as the number 1 carbon, and the ring is then numbered around from 1 to 6Write a structural formula for AcridineQNitration of 1, 4dimethylbenzene (pxylene)Nitration of 1, 4dimethylbenzene (pxylene) gives a single product having the molecular formula C8H9NO2 in high yield


2


O Xylene Cas 95 47 6
This invention relates to a process for the nitration of xylene isomers by using zeolitebeta as a catalyst This invention particularly relates to a process for the nitration of xylenes using solid acid catalyst, thus totally eliminating the disposal of spent acid and saltsNitration of 1,4di methyl benzene (pxylene) gives a single product having the molecular formula C 8 H 9 NO 2 in high yield What is this product?Nitration of pxylene in acetic anhydride gives as the major product cisand transisomers of the adduct 1,4dimethyl4nitro1,4dihydrophenyl acetate (1) as well as 2nitropxylene The acetoxynitro adducts 1aand 1bare stereospecifically cleaved to the hydroxynitro adducts 2aand 2b, respectively, by sodium methoxide


Usb2 Process For The Nitration Of O Xylene And Related Compounds Google Patents


Synthesis Of 4 Nitro O Xylene By Selective Nitration Of O Xylene Semantic Scholar
Reactions of H2XXH2 and H2XO Double Bonds (X = Si, Ge, Sn, Pb) Are 1,3Dioxa2,4dimetaletanes Unusual Molecules?Nitration of 1, 4dimethylbenzene (pxylene) 1 answer below » Nitration of 1, 4dimethylbenzene (pxylene) gives a single product having the molecular formula C8H9NO2 in high yield What is this product?Nitration of 2,7Ditertbutyltrans10b,10cdimethyl10b,10cdihydropyrene Electrochemical inquiry into interaction between substituents in a Hückel 4n2 system Tetrahedron 1995 , 51 (36) ,


Electrophilic Aromatic Substitution


Regioselective Nitration Of O Xylene To 4 Nitro O Xylene Using Nitric Acid Over Solid Acid Catalysts Sciencedirect
2) Nitration of toluene generates a mixture of products The major products are those with substitution at the ortho and para positions (This preference for o/p substitution makes the methyl group an ortho/para director) The product ratios imply that substitution at each position is not equally likely or energetically favorableNitration of 2,7Ditertbutyltrans10b,10cdimethyl10b,10cdihydropyrene Electrochemical inquiry into interaction between substituents in a Hückel 4n2 system Tetrahedron 1995 , 51 (36) ,This invention relates to a process for the nitration of xylene isomers by using zeolitebeta as a catalyst This invention particularly relates to a process for the nitration of xylenes using


Pdf Formation Of Adducts In The Nitration Of P Xylene Exchange And Rearomatization Reactions Of P Xylene Adducts


Organic Chemistry Why Nitration Of Toluene Is Easier Than Benzene Quora
In rats and mice, m and pxylene are distributed primarily to lipidrich tissues, such as fat, blood, and brain and also in organs highly perfused with blood such as kidney and liver Small amounts of pxylene and oxylene cross the placenta and distribute to amnionic fluid and fetal tissue Oral administration of mxylene to rats led toSolution for pXylene undergoes nitration much faster than benzene Use resonance forms of thesigma complex to explain this accelerated rateNitration of 1,3dimethylbenzene H1 NMR Help Homework help please?


Crab Rutgers Edu Alroche Ch17 Pdf


Nitration And Sulfonation Reactions In Electrophilic Aromatic Substitution
This invention relates to a process for the nitration of xylene isomers by using zeolitebeta as a catalyst This invention particularly relates to a process for the nitration of xylenes usingThe mononitration of pxylene canbe easily carried out at 30°C Nitropxylene is easily nitrated to dinitropxylene at atemperature of 80°C The trinitropxylene can be obtained at 1°C Single crystals of2,3dinitropxylene and 2,3,5trinitropxylene were grown using theslow cooling method and we report the Xray structure of the former(b) How many isomers are formed by nitration of pxylene?


P Xylene C6h4 Ch3 2 Pubchem


Pdf Synthesis And Characterization Of Nitro P Xylenes
Nitration of 1, 4dimethylbenzene (pxylene) 1 answer below » Nitration of 1, 4dimethylbenzene (pxylene) gives a single product having the molecular formula C8H9NO2 in high yield What is this product?The selectivity of 2nitropxylene from pxylene is 100% based on pxylene consumed when the nitration is performed using xylene and HNO 3 in the molar ratio of 112 Azeotropic removal of water formed in the reaction and that present in the nitric acid makes the solid acid catalyst reusableThe rates of nitration of benzene, toluene, p xylene, and mesitylene have been determined in aqueous nitric acid at concentrations between 24–41 mol % HNO 3 and at temperatures between 293–333 K Plots of log 10 (k1 / a HNO 3) versus – H0, where k1 is the pseudofirstorder rate constant, a HNO 3 the activity of the nitric acid, and H0 the Hammett acidity function, are linear, and confirm that the mechanism of nitration in aqueous nitric acid is similar to that in aqueous sulphuric acid


Solved The Three Isomers Of Dimethylbenzene Are Commonly Named Ortho Xylene Solutioninn


Organic Problems
(c) A turnofthecentury chemist isolated an aromatic compound of molecular formula C6H4Br2 He carefully nitrated this compound andReactions of H2XXH2 and H2XO Double Bonds (X = Si, Ge, Sn, Pb) Are 1,3Dioxa2,4dimetaletanes Unusual Molecules?Nitration of pxylene in acetic anhydride gives as the major product cisand transisomers of the adduct 1,4dimethyl4nitro1,4dihydrophenyl acetate (1) as well as 2nitropxylene The acetoxynitro adducts 1aand 1bare stereospecifically cleaved to the hydroxynitro adducts 2aand 2b, respectively, by sodium methoxide


1 31 Electrophilic Substitution Chemistry Libretexts


P Xylene 2 Sulphonic Acid 609 54 1 Wiki
Which one of these will undergo nitration faster and why?The nitration of an aromatic ring is an important synthetic pathway to generating arylamines The reaction below shows one common method of reducing the nitro group In each case, how many products would be expected for the bromination of pxylene, oxylene, and mxylene?The nitration of an aromatic ring is an important synthetic pathway to generating arylamines The reaction below shows one common method of reducing the nitro group In each case, how many products would be expected for the bromination of pxylene, oxylene, and mxylene?


Nitration And Sulfonation Reactions In Electrophilic Aromatic Substitution


Crab Rutgers Edu Alroche Ch17 Pdf
Identifying spectrums Burning Questions on Phenol and Benzene Benzene Reaction of benzene confusion show 10 more How many structural isomers are formed from the mononitration of 1,3 dimethylbenzenePXylene undergoes nitration much faster than benzeneMxylene undergoes nitration 100 times faster than pxylene, because it has attack points that are both othoor metato either methyl substituents simultaneously All attack points on pxylene are metato one methyl group but parato the other, reducing favourability 29


Molecules Free Full Text Synthesis And Characterization Of Nitro P Xylenes Html


Oneclass Ring Nitration Of A Dimethylbenzene A Xylene Results In The Formation Of Only One Dimethy
Asymmetric CpxRh(III)Catalyzed Acrylic Acid C–H Functionalization with Allenes Provides Chiral γLactones1 Answer to (a) Bromination of pxylene (b) Chlorination of mxylene (c) Nitration of acetophenone (d) Friedel–Crafts acylation of anisole with(e) Nitration of isopropyl benzene (f) Bromination of nitrobenzene (g) Sulfonation of furan (h) Bromination of pyridine


Pdf Synthesis And Characterization Of Nitro P Xylenes


Nitro Compounds Aromatic Booth Major Reference Works Wiley Online Library


Table 1 From Recent Aspects Of Nitration New Preparative Methods And Mechanistic Studies A Review Semantic Scholar


Answered Explain Why M Xylene Undergoes Bartleby


Woa2 Process For The Nitration Of O Xylene And Related Compounds Google Patents


Catalytic Pyrolysis Of Lignin For Directional Production Of Em P Em Xylene Over Metal Oxides Modified Hzsm 5 Catalysts


Solved 1 Before Spectroscopy Was Invented Komer S Absolute Method Was Used To Determine Whether A Disubstituted Benzene Derivative Was The Ortho Course Hero


Www Publish Csiro Au Ch Pdf Ch


Aromatic Substitution Reactions Reactions Nomenclature Ppt Download


2


2


Q Tbn And9gcqplhekas1 Faxei0vpkbwcbpshkk Dmcyhp2w4eixbdaxo 7cg Usqp Cau


How Many Products Are Formed By The Nitration Of P Xylene Compound


3 Nitro O Xylene C8h9no2 Pubchem


Solved Papers For Uttarakhand Pmt Uttarakhand Pmt Solved Paper 08 Studyadda Com


Urbanski 1


How Many Products Are Formed By The Nitration Of P Xylene Compound


Oneclass Part A Please Circle The Best Answer For The Ques Pe 1 The Following Reaction Will Give P


Mediatum Ub Tum De Doc Pdf


Question Read The Following Instructions Carefullyassertion Toluene On Friedel Crafts Methylation Gives O And P Xylene Reason Nitration Of Benzene With Nitric Acid Requires The Use Of Concentrated Sulphuric Acid A If Both


Growth And Characterization Of Urea Adduct With M Nitrobenzoic Acid M Nitroaniline And P Xylene Mixtures


Nitration Of Xylene Gives Only One Mono Nitro Derivative Which Xylene Is It


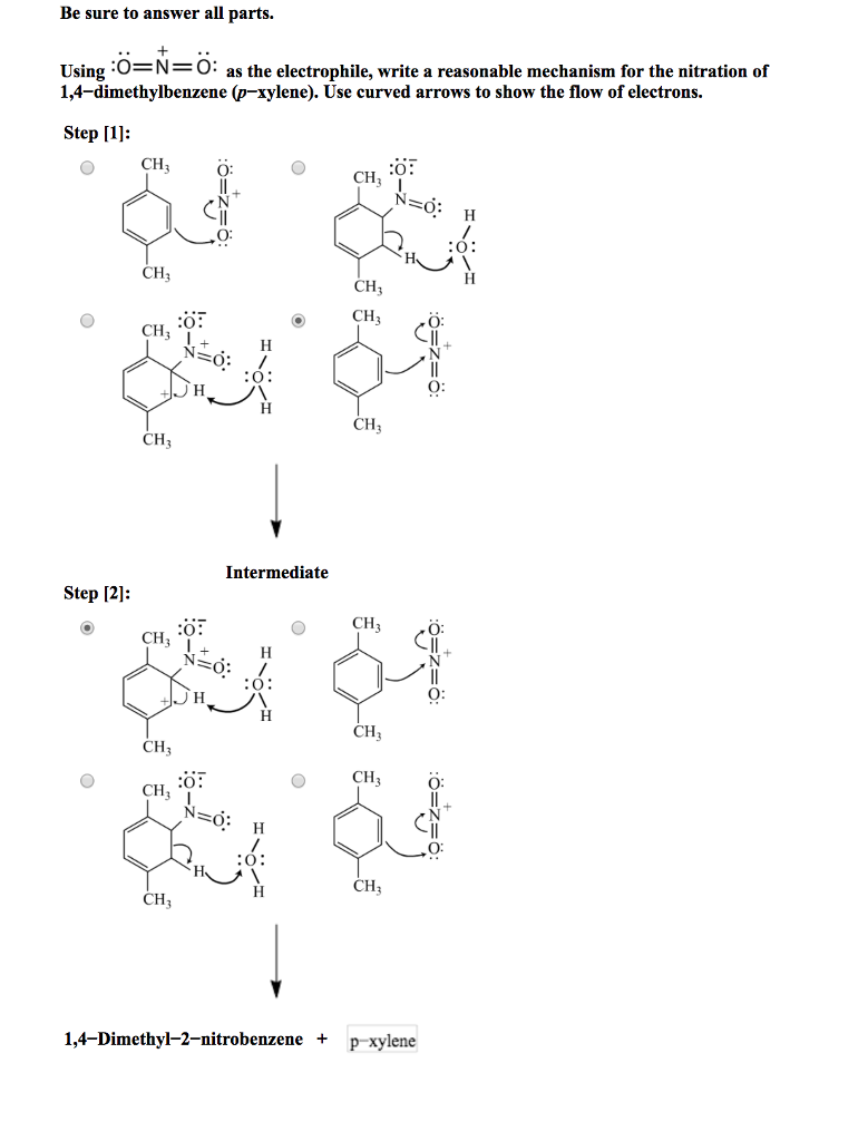
Solved Be Sure To Answer All Parts Using 0 N O As The Chegg Com


Solved 6 12 Points P Xylene Undergoes Nitration Much F Chegg Com


Answered P Xylene Undergoes Nitration Much Bartleby


Q Tbn And9gcsmiom Jomi1eayw7ufcuzeqk1yqdujtkbgoqls63r95vnnkgsd Usqp Cau


2


Nitration Of O Xylene Over Rare Earth Cations Exchanged Zeolite B With Nitric Acid And Acetic Anhydride Sciencedirect


Which Of The Following Produces One Mononitro And Three Isomeric Dinitro Derivatives


Csiro Publishing Australian Journal Of Chemistry


Aromatic Reactivity


Acid Catalyzed Regioselective Nitration Of O Xylene To 4 Nitro O Xylene With Nitrogen Dioxide Bronsted Acid Versus Lewis Acid Pdf Document


Chem 12b Exam 1 Flashcards Quizlet


2


Media Portfolio


Oneclass 29 Halide And A Y Other Organic And Inorganic Reagets 7 Points Br 3 Bromo 4 Methylpheno


Molecules Free Full Text Synthesis And Characterization Of Nitro P Xylenes Html


Get Answer Before Spectroscopy Was Invented Korner S Absolute Method Was Transtutors


Media Portfolio


Chapter 16


Solved P Xylene Undergoes Nitration Much Faster Than Benzene Chegg Com


Organic Chemistry Why Nitration Of Toluene Is Easier Than Benzene Quora


Solved Write A Structural Formula For The Most Stable Cyclohex Chegg Com


What Is The Major Product Obtained By Nitration Of M Xylene


Organic Problems


Www Nrcresearchpress Com Doi Pdf 10 1139 V78 180


Thermodynamic Stability Of Meta Xylene Over Ortho And Para Isomers Chemistry Stack Exchange


2


Xylene Sciencemadness Wiki


Desulfonation An Overview Sciencedirect Topics


How Many Mono Nitro Derivatives Can Be Obtained By The Nitration Of Para Xylene


Help With This Organic Chemestry Problem Yahoo Answers


Which Xylene Is Most Readily Nitrated


File Musk Xylene Prepn Png Wikimedia Commons


Solved A Draw A Detailed Mechanism For The Reaction Of Ethyl Chegg Com


Ejournal Undip Ac Id Index Php rec Article Download 7126 5798


Allup C Tetrachlorobenzene Ch3 D All At The Same C Meta Xylene Which Xylene Is Most Readily Nitrated B Para Xylene A Ortho Xylene 0 H 10 Which Of The Following Compounds Is A Weaker Acid


Answered Explain Why M Xylene Undergoes Bartleby


Solved Using As The Electrophile Write A Reasonable Mech Chegg Com


Question Read The Following Instructions Carefullyassertion Toluene On Friedel Crafts Methylation Gives O And P Xylene Reason Nitration Of Benzene With Nitric Acid Requires The Use Of Concentrated Sulphuric Acid A If Both


Clxvii The Nature Of The Alternating Effect In Carbon Chains Part Xxvi The Nitration Of W Chloro And W Bromo P Xylene Journal Of The Chemical Society Resumed Rsc Publishing


Www Tandfonline Com Doi Pdf 10 1080 13


2


3 Which Of The Following Represents Decreasing Order Of Rea Scholr


Sciencemadness Discussion Board Nitration Of Xylene Powered By Xmb 1 9 11


Www Research Manchester Ac Uk Portal Files Full Text Pdf


Molecules Free Full Text Synthesis And Characterization Of Nitro P Xylenes Html


Continuous Flow Synthesis Of Xylidines Via Biphasic Nitration Of Xylenes And Nitro Reduction Springerlink


16 2 Other Aromatic Substitutions Chemistry Libretexts


Ortho Para Ratio Aromatic Nitration Of Toluene Youtube

コメント
コメントを投稿